問6
2-メチルブチル基を表す構造式はどれか。1つ選べ。
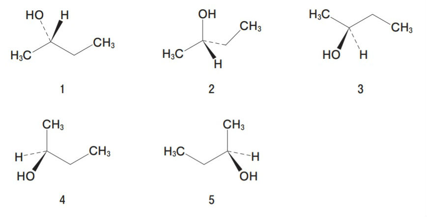
問7
不斉中心の立体配置がR配置であるのはどれか。1つ選べ。

>>解答・解説を見る(会員限定)
問8
芳香族性を示さないのはどれか。1つ選べ。

>>解答・解説を見る(会員限定)
問9
亜鉛イオンは、生体内においてルイス酸として重要な役割を果たしている。亜鉛がとりやすい酸化数はどれか。1つ選べ。
1 +1
2 +2
3 +3
4 +4
5 +5
>>解答・解説を見る(会員限定)
問10
pKa 値が最も小さいカルボン酸はどれか。1つ選べ。












