問11
図は、ヒトの心臓の断面と心臓に出入りする血管を示す。 1 ~ 5 のうち、肺動脈はどれか。1つ選べ。なお、矢印は血液の流れを示す。
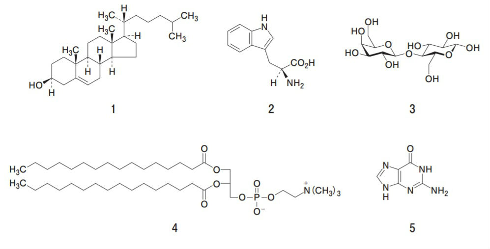
問12
コレステロールの構造はどれか。1つ選べ。
問13
図はヒト染色体を表す。矢印の部分(黒色)に存在する構造の名称はどれか。1つ選べ。

1 動原体
2 テロメア
3 核小体
4 セントロメア
5 紡錘糸
>>解答・解説を見る(会員限定)
問14
T細胞が分化・成熟する一次リンパ器官はどれか。1つ選べ。
1 リンパ節
2 胸腺
3 脾臓
4 副腎
5 骨髄
>>解答・解説を見る(会員限定)
問15
ヘリコバクター・ピロリが、アンモニアを産生する際に関与する主な酵素はどれか。1つ選べ。
1 アルギナーゼ
2 ウレアーゼ
3 グルタミナーゼ
4 クレアチンキナーゼ
5 デアミナーゼ
>>解答・解説を見る(会員限定)











